Vorbereitungsunterlagen für das Masterstudium Pharmaceutical Science – Drug Development and Regulatory Affairs (PHARM_SCI)
1. Analytik
Welche der folgenden Aussagen zu den Grundlagen der analytischen Chemie stimmen:
- In der Adsorptionschromatographie kann die Elutionsgeschwindigkeit über die Polarität der mobilen Phase gesteuert werden. (richtig)
- Mit einem UV-vis Spektralphotometer können nur farbige Verbindungen bestimmt werden. (falsch)
- Für eine Grundlinientrennung darf die Auflösung zwischen zwei Peaks nicht kleiner als 1.5 sein. (richtig)
- Ob eine Verbindung chiral ist oder nicht kann leicht mittels Refraktometer bestimmt werden. (falsch)
2. Chemie
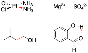
a) Bildzuordnung: Bitte ordnen Sie den Molekülen in der Abbildung die folgenden Wechselwirkungen zu: kovalente Bindung, Wasserstoffbrückenbindung, ionische Wechselwirkung, koordinative Bindung


b) Single choice: Welche Menge Natriumhydroxid Plätzchen (MW = 40,0 g/mol) wird benötigt, um 100 ml einer 1M (=1mol/L) Salzsäure (MW = 36,6 g/mol) zu neutralisieren?
Drop down Optionen:
- 0.4 g
- 4.0 g
- 3.65 g
- 36.5 g
Richtige Antwort: 4.0 g
3. Statistik
Frage 1: Gegeben ist eine Grundgesamtheit von 100 Beobachtungseinheiten. Aus einer zufälligen Stichprobe vom Umfang n=10 ermittelt man Mittelwert, Median, Varianz und Spannweite (Range = Maximum-Minimum). Danach wählt man aus derselben Grundgesamtheit weitere 10 Beobachtungseinheiten aus und berechnet die Maße für die daraus resultierende Gesamtstichprobe vom Umfang 20. Welches der folgenden Maße kann durch (Maßnahme) auf keinen Fall kleiner werden?
a) Mittelwert
b) Median
c) Varianz
d) Spannweite
e) Standardabweichung
Richtige Antwort: d)
Frage 2: Um ein neues Arzneimittel zur Zulassung zu bringen, ist welche Studienform zu bevorzugen?
a) Eine randomisierte kontrollierte Studie
b) Eine Fall-Kontroll-Studie
c) Eine Kohorten Studie
d) Eine Querschnittsstudie
Richtige Antwort: a)
4. Molekularbiologie
Was ist eine Vektorimpfstoff?
ein genetechnisch erzeugter “Transportvirus”, das das Gen, welches den tatsächlichen Impfstoff codiert, enthält. (richtige Antwort)
ein inaktiviertes Virus, das nicht in der Lage ist menschliche Zellen zu infizieren
ein Bakterienvirus (Bakteriophage) , das nicht in der Lage ist menschliche Zellen zu infizieren
eine direkt applizierte virale messenger-RNA (mRNA), welche den tatsächlichen Impfstoff codiert
ein in Bakterien produziertes antigenes Protein
5. Physiologie und Pathophysiologie
Warum führt ein Vitamin K Mangel zu Blutungen?
a) Reduzierte Aggregation der Thrombozyten
b) Thrombozyten sind nicht mehr in der Lage an Endothelzellen zu binden
c) Durch ein Leberversagen wird weniger Prothrombin gebildet
d) Reduzierte Gamma-Carboxylierung des Prothrombins
Richtige Antwort: d)
6. Genetik
Beim Kreuzen einer homozygoten Wildtyp Mutter mit einem homozygoten Knockout Vater verteilen sich die Genotypen der 2. Tochtergeneration wie?
Nach den Medel’schen Regeln verteilen sich dei genotypen in ……..% homozygot Wildtyp, ………….% homozygot Knockout; …………….. % heterozygot.
Füllen Sie die korrekten Werte aus der Liste ein. 0 %; 10 %; 25 %; 33 %; 50 %; 80 %
Richtige Antwort: 25; 25; 50 in dieser Reihenfolge.
7. Pharmakologie
Was ist Efficacy?
a) Der maximale Biologiache Effekt einer Substanz
b) Die Fähigkeit einer Substanz an einen Rezeptor zu binden
c) Wenn eine Substanz nur an einen Rezeptor bindet
d) Die Stärke mit der die Substanz an den Rezeptor bindet
Richtige Antwort: a
8. Pharmaceutical Technology
Allgemeine Richtlinien für die perorale Einnahme von Arzneimitteln:
Arzneimittel immer mit viel Wasser einnehmen – richtig
Magensaftresistente Arzneiformen „nüchtern“ zwischen den Mahlzeiten einnehmen – richtig
Zerteilung retardierter und Magensaft-resistenter Arzneimittel vor der Einnahme ist erlaubt – falsch
Arzneimitteln, welche akut wirken sollen mit Essen verabreicht werden – falsch
9. Biotechnology
Parenteral formulation are dosage forms are administered / most common routes
– Oral (wrong)
– Subcutaneous (correct)
– Intravenous Subcutaneous (correct)
– Intramuscular Subcutaneous (correct)
– Intrathecal Subcutaneous (correct)